Efectivos de la Policía Federal registraron la sede central de Sur Finanzas en Adrogué, la impresa insignia de Ariel Vallejo; rastrean transferencias a través de criptomonedas
De manera imprevista, el caso de corrupción de la Agencia Nacional de Discapacidad (Andis) se cruzó con Ariel Vallejo, un financista cercano al presidente de la Asociación del Fútbol Argentino (AFA), Claudio “Chiqui” Tapia. Por orden de la Justicia, la Policía Federal (PFA) realizó ayer un operativo en la sede central de Sur Finanzas, en el centro de Adrogué, para secuestrar información sobre el dinero que administraban algunos de los imputados.
Según consta en el expediente de la Andis, una parte de los fondos recibidos por Alan Pocoví y Miguel Ángel Calvete habría sido invertida en criptomonedas mediante la aplicación “Neblockchain”. El dictamen del fiscal Franco Picardi acompaña un comprobante de una transferencia sobre esa aplicación, ahora conocida como Sur Finanzas PSP.
Calvete, quien ayer se negó a declarar ante la Justicia, y Pocoví son investigados por el esquema de licitaciones “acotadas” (con menos participantes).

En la acusación del fiscal, Calvete es mencionado como un “conector entre Andis y el sector privado vinculado a la salud”, supuestamente a cargo de la coordinación de pagos y gestión de cobros. En el caso de Pocoví, el dictamen lo describe como uno de los posibles encargados de blanquear del dinero.
Al momento de pedir las indagatorias, el fiscal citó chats de WhatsApp entre Pocoví y Calvete sobre el destino del dinero. “El mensaje que Miguel Ángel Calvete le envía consultándole cuánto dinero había reunido, permite presumir que Alan sería una de las personas a cargo de la recaudación de fondos y/o de las maniobras tendientes al blanqueo del dinero proveniente de las ganancias indebidas, obtenidas en el ámbito de ANDIS”, dice el dictamen.

Los efectivos de la PFA llegaron ayer a la tarde a la sede central de Sur Finanzas, en Seguí al 700, con una orden judicial del juzgado federal 11, a cargo de Sebastián Casanello. Según pudo saber este medio, los efectivos estuvieron varias horas en el lugar y se llevaron la documentación sobre las transferencias.
El presidente de Sur Finanzas, Ariel Vallejo, es investigado por otras causas, pero ninguna está vinculada al expediente ANDIS. En este caso, una ramificación del grupo empresarial que lidera la proveedora de servicios de pago, Sur Finanzas PSP, habría sido la plataforma utilizada por Calvete y Pocoví para movilizar fondos. Su origen es el principal objetivo de la investigación.
La Justicia busca reconstruir la ruta del dinero descripta en el dictamen de Picardi. Con esos papeles podría certificar si es cierto que “Alan Pocoví y Miguel Ángel Calvete movilizaban en forma regular importantes sumas dinerarias en moneda local y estadounidense”, y si “parte de los fondos recibidos por Alan Pocovi serían invertidos en criptomonedas”.
Según la acusación del fiscal, esas transferencias habrían sido precedidas por otra maniobra sospechosa: la de las licitaciones “acotadas”, que funcionaron en paralelo a las licitaciones generales. Entre sus ganadores aparecen las droguerías Génesis, New Farma, Floresta y Profarma (vinculada a Calvete).

Según un pedido de acceso a la información que la Andis respondió a LA NACION, el organismo firmó órdenes de pago a favor de estas droguerías por $48.631 millones entre diciembre de 2023 y el 14 de octubre de este año.
Una de las adjudicaciones presentadas por la fiscalía para argumentar la acusación de sobreprecio es la de la compra de Burosumab, un medicamento para tratar la hipofostatemia.
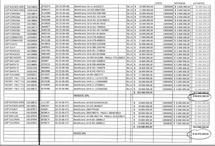
Según lo detallado por la Fiscalía, Andis adjudicó la compra de este medicamento a Profarma y a Génesis por un valor unitario que osciló entre $39.476.556 en febrero 2025 y $45.152.230 en junio, mientras que en mayo, a otros oferentes como Hemipharm SRL o Soldist SRL, se los adjudicó por $21.000.000. Es decir, una diferencia de entre el 87,9% y 115%. “Es el mismo principio activo, mismas marcas”, especificó el dictamen.
Precisamente, los investigadores judiciales vincularon a Calvete a la droguería Profarma. Además, la Justicia posee mensajes entre él y funcionarios de la Andis, así como también una foto de “quien sería” Diego Spagnuolo en la puerta de su domicilio.
En uno de los operativos dispuestos en esta causa, la Justicia halló el cuaderno que contiene la insignia de “Círculo Tuco” arriba de una lista de contactos. También encontró planillas, en las que el acusado distinguía entre “Costos” (con dos columnas, la primera con una cifra superior a la segunda), “Diferencia” (que es el resultado de la resta entre la primera y la segunda columna de costos), y “2/3 Partes” (con una cifra que representaría los dos tercios de la columna anterior “Diferencia”). “Esto demuestra que Miguel Ángel Calvete, registraba diversos montos vinculados a prestaciones Pacbi , y entre ellos distribuciones de las diferencias entre los costos reales y los costos por lo que efectivamente se vendían”, sostuvo el fiscal Picardi al enumera las pruebas.

Su hija, Ornella Calvete, que renunció este martes a su cargo en el Ministerio de Economía, también forma parte del expediente a raíz de mensajes telefónicos. El 10 de septiembre de 2025, “insiste a su padre por Claudio de Ortopedia Alemana, su padre le dice que ya concretó una reunión, a lo cual ella le desea éxitos y le dice que si todo sale bien le compra algo lindo, “una lambo, una granja, lo que quieras”. Por su parte, Miguel Ángel Calvete le responde: “No hace falta…con el 3% a KM está perfecto”“, firmó Picardi en su dictamen.

Sur Finanzas PSP
La empresa de Vallejo, antes llamada Neblockchain, es la que, según el fiscal, utilizaron Calvete y Pocoví para transferir fondos. Sur Finanzas no es investigada por la Justicia en el caso Andis, pero fue requerida para obtener información que certifique el giro de los fondos señalados en el dictamen.
El operativo dispuesto por autoridades judiciales en la sede central de Sur Finanzas comenzó por la tarde y terminó pasadas las 21 horas.
El dueño de Sur Finanzas, Ariel Vallejo, está siendo investigado en otro expediente por presunto lavado dinero, tras una denuncia de la Procelac. En ese caso, revelado por LA NACION, la Justicia en lo Penal Económico analiza las transferencias realizadas desde una empresa denominada Construcciones TAR, creada por dos personas que habrían actuado como testaferros.
Los organismos especializados en lavado detectaron que esa firma recibió más de $6000 millones en sus cuentas bancarias entre septiembre de 2022 y julio de 2023. Es una cifra que no guarda relación con su actividad ni su nivel de facturación. La constructora derivó dinero hacia distintas compañías, entre ellas una casa de cambio que fue adquirida por Vallejo en 2020: “Centro de Inversiones Concordia”.
En paralelo, el Banco Central también tiene un sumario abierto contra Vallejo y Centro de Inversiones Concordia por posible incumplimiento de la norma sobre tenencia de moneda extranjera.
Vallejo sigue apelando al silencio y solo publica mensajes enigmáticos en sus redes sociales. “La traición viene de adentro”, posteó entre sus contactos de WhatsApp al día siguiente a la primera publicación sobre la investigación por presunto lavado de dinero.

Vallejo utiliza su cuenta de Instagram para exhibir sus contactos con el mundo del fútbol. Tiene varias imágenes junto a Tapia en eventos vinculados al fútbol, en el predio de la AFA, y hasta en su propia oficina.
Su marca “Sur Finanzas” o firmas vinculadas al grupo llegó a ser sponsor de Racing, Banfield, Barracas (el club de Tapia), Platense, Los Andes, Atlanta y Temperley, entre otros.
Además de ser el auspiciante principal de la Liga Profesional (en 2024), de la Selección, también invirtió en el Torneo de Segunda División, en la Liga Femenina, y en la Liga Proyección de la Liga Profesional. Llegó a aportar un camión de caudales de su empresa para trasladar la Copa del Torneo Clausura 2025 hasta el estadio de Santiago del Estero, donde posó sonriente junto al gobernador Gerardo Zamora y al mandamás de la AFA.
Por Nicolás Pizzi y Ignacio Grimaldi
Fuente Lanacion

